近期,我院张文献教授课题组与理论物理所易俗教授合作,从理论上提出了多能级振荡方法,并利用该方法发展量子调控技术、抑制实验室噪声,在自旋1的反铁磁Na玻色-爱因斯坦凝聚体中快速高效地制备多体纠缠单重态和孪生双数态。该工作以“Efficient generation of many-body entangled states by multilevel oscillations” 为题发表在《物理评论快报》(Physical Review Letters)上。论文第一署名单位是yl7703永利官网,第一作者是我院2016级博士生徐鹏,张文献教授为通讯作者。
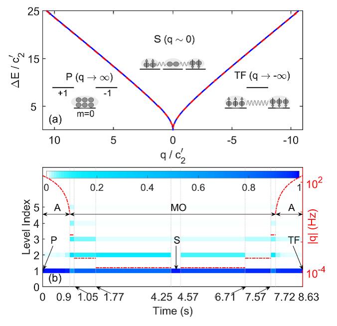
多体纠缠量子态在量子计算、量子信息、和量子精密测量方面都有重要的应用,自旋1的23Na玻色-爱因斯坦凝聚体为实现这类纠缠态提供了可能性。然而由于此系统的能隙随粒子数增加而急剧减小,通过传统的绝热演化技术制备多体纠缠单重态变得异常困难。为了克服这些困难,本工作提出多能级振荡的方法,不仅极大地缩短了实验制备时间而且抑制了实验中各种噪声的影响,数值模拟结果表明可以近乎完美地制备多体纠缠单重态。

上左图在谐振子体系中展示了多能级振荡方法的物理原理:为了将谐振子从红色位置快速转移到蓝色(基态)位置,将外力F突然撤掉,红色小球会在黑色势阱中振荡;经过半个周期,突然将F反向加上即可。上右图表明在自旋1的玻色-爱因斯坦凝聚体中,利用多步多能级振荡过程,快速高效地制备1000个原子的纠缠单重态和孪生双数态。

上图展示了在偏置磁场噪声和粒子数散粒噪声中,多能级振荡方法依然能够快速高效地制备高度纠缠的量子态。
本文提出的多能级振荡方法可以在其它的物理系统中得到应用,例如铁磁系统和绝热量子计算机等。通过该方法制备的多体纠缠单重态可以用来测量微弱的磁场梯度,并有望超越标准量子极限。
该工作得到了国家自然科学基金和科技部基金的支持。
附论文链接:
http://journals.aps.org/prl/abstract/10.1103/PhysRevLett.123.073001